基本信息:
中文名称 D-山梨醇
中文别名 D-山梨糖醇;山梨醇;
英文名称 D-glucitol
英文别名 n-Hex-2,4-dienal;(2R,3R,4R,5S)-Hexane-1,2,3,4,5,6-hexaol;2,4-HEXADIEN-1-AL;Sorbitol;trans,trans-2,4-Hexadienal;T2 T4 HEXADIENAL;D-Sorbitol;sorbic aldehyde;hexa-2,4-dienal;trans,trans-hexa-2,4-dienal;sorbaldehyde;
CAS号 50-70-4
合成路线:
1.通过纤维素粉合成D-山梨醇,收率约6%;

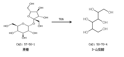
2.通过蔗糖合成D-山梨醇,收率约76%;

更多路线和参考文献可参考