你好,欢迎来到中华试剂网 购试剂 买耗材! [请登录][注册有惊喜]

货号快速下单 | 签到送积分   | 会员中心 | 客服热线:400-021-2765

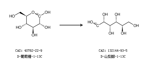
D-山梨醇-1-13C的合成路线有哪些?

提问时间:2021/4/20 8:14:03
D-山梨醇-1-13C有什么方法可以合成?

1条回复:

匿名
2021/4/20 8:14:03
基本信息:
中文名称 D-山梨醇-1-13C
英文名称 (2R,3R,4S,5R)-hexane-1,2,3,4,5,6-hexol
英文别名 D-Sorbitol-1-13C;D-Glucitol-1-13C;
CAS号 132144-93-5

合成路线:
1.通过D-葡萄糖-1-13C合成D-山梨醇-1-13C


更多路线和参考文献可参考
回复