基本信息:
中文名称 D-脯氨酸
中文别名 D-吡咯烷-2-羧酸;D-吡咯烷-2-羧酸;(R)-吡咯烷-2-羧酸;右旋脯氨酸
英文名称 D-proline
英文别名 D-(+)-Prolin;H-D-PRO-OH;D(+)-Proline;(R)-Pyrrolidine-2-carboxylic acid;H-D-PYRD(2)-OH;D-Proline;D(+)-PROLINE;(R)-(+)-PROLINE;(R)-Pyrrolidine-2-Carboxylic Acid;D-PRO;
CAS号 344-25-2
合成路线:
1.通过N-苄氧羰基-D-脯氨酸合成D-脯氨酸,收率约94%;

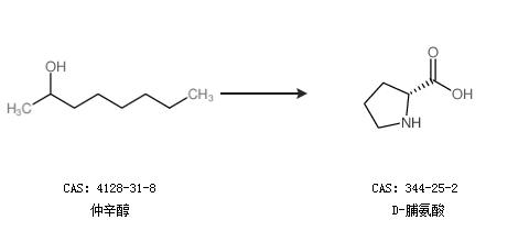
2.通过仲辛醇合成D-脯氨酸

更多路线和参考文献可参考