你好,欢迎来到中华试剂网 购试剂 买耗材! [请登录][注册有惊喜]

货号快速下单 | 签到送积分   | 会员中心 | 客服热线:400-021-2765

D-苹果酸二甲酯的合成路线有哪些?

提问时间:2021/4/20 8:14:03
D-苹果酸二甲酯有什么方法可以合成?

1条回复:

匿名
2021/4/20 8:14:03
基本信息:
中文名称 D-苹果酸二甲酯
中文别名 D-(+)-苹果酸二甲酯;(R)-2-羟基琥珀酸二甲酯;
英文名称 D-(+)-Malic Acid Dimethyl Ester
英文别名 dimethyl (2R)-2-hydroxybutanedioate;
CAS号 70681-41-3

合成路线:
1.通过D-(+)-苹果酸和对甲苯磺酸合成D-苹果酸二甲酯,收率约86%;


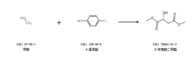
2.通过甲醇和4-氯苯酚合成D-苹果酸二甲酯


更多路线和参考文献可参考
回复