基本信息:
中文名称 beta-丙酸胍
中文别名 胍基丙酸;
英文名称 3-guanidinopropanoic acid
英文别名 beta-Guanidinopropionic acid;Guanidinopropionic acid;3-Guanidinopropionic acid;3-Guanidinopropanoic acid;n-carbamimidoyl-|A-alanine;3-Guanidinopropanoate;β-Guanidinopropionic acid;3-guanidinepropionic acid;3-carbamimidamidopropanoic acid;3-(diaminomethylideneamino)propanoic acid;
CAS号 353-09-3
合成路线:
1.通过β-丙氨酸合成beta-丙酸胍,收率约51%;

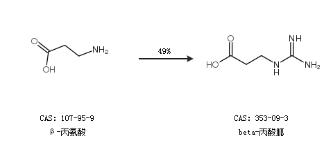
2.通过β-丙氨酸合成beta-丙酸胍,收率约49%;

更多路线和参考文献可参考