基本信息:
中文名称 Alpha-溴壬酸乙酯
中文别名 Α-溴壬酸乙酯;a-溴月桂酸乙酯;
英文名称 ETHYL A-BROMOLAURATE
英文别名 2-Brom-dodecansaeure-aethylester;2-Bromolauric acid ethyl ester;Ethyl2-bromoLaurate;ethyl 2-bromododecanoate;2-Bromododecanoic acid ethyl ester;
CAS号 6974-87-4
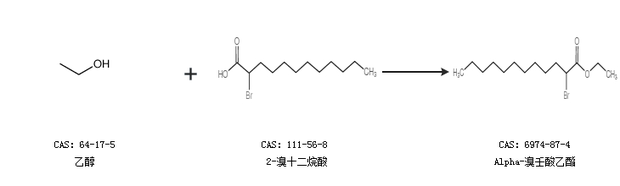
合成路线:
1.通过二溴乙酸乙酯合成Alpha-溴壬酸乙酯

2.通过乙醇和2-溴十二烷酸合成Alpha-溴壬酸乙酯

更多路线和参考文献可参考