基本信息:
中文名称 9-芴甲醇
中文别名 9-芴基甲醇;9-羟基甲基芴;芴甲醇;
英文名称 9H-fluoren-9-ylmethanol
英文别名 fluorenyl methanol;9-hydroxymethylfluorene;9H-Fluorene-9-methanol;fluoren-9-ylmethan-1-ol;9-Fluorenylmethanol;Fluorene-9-methanol;9-(Hydroxymethyl)fluorene,9-Fluorenylmethanol;9-Hydroxymethylfluorene;9-Fluorenemethanol;9-Fluorenyl Methanol;(9H-Fluoren-9-yl)-methanol;
CAS号 24324-17-2
合成路线:
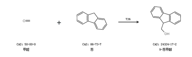
1.通过甲醛和芴合成9-芴甲醇,收率约73%;

2.通过9-芴甲酸合成9-芴甲醇,收率约51%;

更多路线和参考文献可参考