基本信息:
中文名称 9-氯-1-壬烯
英文名称 9-chloronon-1-ene
英文别名 9-chloro-1-nonene;9-chloro-non-1-ene;8-nonen-1-yl chloride;OR2942;9-Chlor-nonen-1;1-Nonene,9-chloro;9-Chlor-non-1-en;8-nonenyl chloride;
CAS号 872-06-0
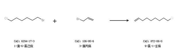
合成路线:
1.通过1-溴-5-氯戊烷和3-丁烯基溴化镁合成9-氯-1-壬烯,收率约73%;

2.通过1-溴-6-氯己烷和3-溴丙烯合成9-氯-1-壬烯

更多路线和参考文献可参考