基本信息:
中文名称 8-溴腺苷
中文别名 6-氨基-8-溴代嘌呤核苷;8-溴膘苷;
英文名称 8-BROMOADENOSINE
英文别名 6-AMINO-8-BROMOPURINE RIBOSIDE;6-Amino-8-bromopurine riboside;8-Bromoadenine-9-β-D-ribofuranoside;(2R,3R,4S,5R)-2-(6-Amino-8-bromo-9H-purin-9-yl)-5-(hydroxymethyl)tetrahydrofuran-3,4-diol;8-Br-A;8-bromo-adenosine;8-BROMO-D-ADENOSINE;
CAS号 2946-39-6
合成路线:
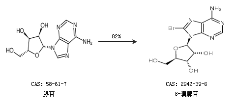
1.通过腺苷合成8-溴腺苷,收率约82%;

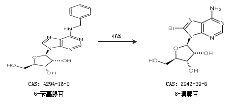
2.通过6-苄基腺苷合成8-溴腺苷,收率约46%;

更多路线和参考文献可参考