基本信息:
中文名称 8-溴-2''-脱氧腺苷
中文别名 8-溴2‘-脱氧腺苷;
英文名称 8-Bromo-2''-deoxyadenosine
英文别名 8-Br-dA;(2R,3S,5R)-5-(6-Amino-8-bromo-9H-purin-9-yl)-2-(hydroxymethyl)tetrahydrofuran-3-ol;8-Bromo-9-(2''-deoxyribofuranosyl)adenine;8-bromo-2''-deoxy-adenosine;8-bromo-deoxyadenosine;8-bromo-2''-deoxydenosine;8-BROMO-2''-DEOXY-D-ADENOSINE;
CAS号 14985-44-5
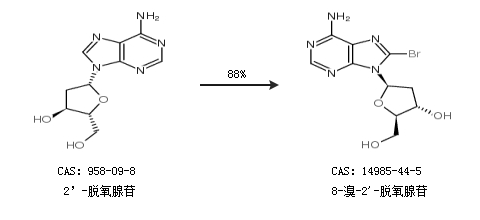
合成路线:
1.通过2’-脱氧腺苷合成8-溴-2''-脱氧腺苷,收率约88%;

更多路线和参考文献可参考