你好,欢迎来到中华试剂网 购试剂 买耗材! [请登录][注册有惊喜]

货号快速下单 | 签到送积分   | 会员中心 | 客服热线:400-021-2765

8-壬烯-1-醇的合成路线有哪些?

提问时间:2021/4/20 8:14:03
8-壬烯-1-醇有什么方法可以合成?

1条回复:

匿名
2021/4/20 8:14:03
基本信息:
中文名称 8-壬烯-1-醇
英文名称 non-8-en-1-ol
英文别名 8-Nonen-1-ol;8-Nonene-1-ol;N0650;9-hydroxynonene;
CAS号 13038-21-6

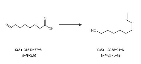
合成路线:
1.通过8-壬烯酸合成8-壬烯-1-醇


2.通过1,8-壬二烯合成8-壬烯-1-醇,收率约12%;


更多路线和参考文献可参考
回复