你好,欢迎来到中华试剂网 购试剂 买耗材! [请登录][注册有惊喜]

货号快速下单 | 签到送积分   | 会员中心 | 客服热线:400-021-2765

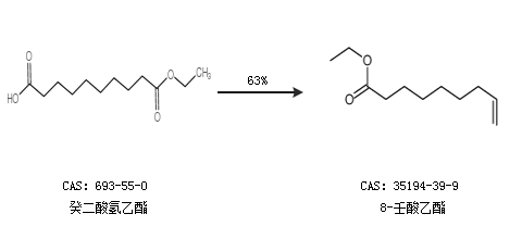
8-壬酸乙酯的合成路线有哪些?

提问时间:2021/4/20 8:14:03
8-壬酸乙酯有什么方法可以合成?

1条回复:

匿名
2021/4/20 8:14:03
基本信息:
中文名称 8-壬酸乙酯
英文名称 ethyl non-8-enoate
英文别名 Non-8-ensaeure-aethylester;ETHYL 8-NONENOATE;8-Nonenoic acid,ethyl ester;non-8-enoic acid ethyl ester;
CAS号 35194-39-9

合成路线:
1.通过癸二酸氢乙酯合成8-壬酸乙酯,收率约63%;


2.通过乙醇和8-壬烯酸合成8-壬酸乙酯,收率约74%;


更多路线和参考文献可参考
回复