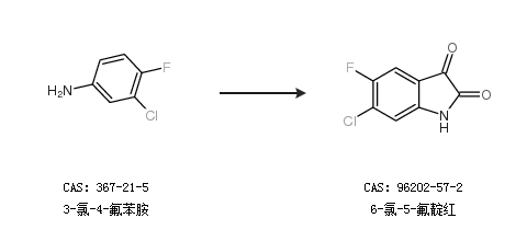
基本信息:
中文名称 6-氯-5-氟靛红
英文名称 6-chloro-5-fluoro-1H-indole-2,3-dione
英文别名 6-CHLORO-5-FLUOROINDOLINE-2,3-DIONE;6-chloro-5-fluoro-isatin;BH151;5-FLUORO-6-CHLORO ISATIN;
CAS号 96202-57-2
合成路线:
1.通过3-氯-4-氟苯胺和水合氯醛合成6-氯-5-氟靛红

2.通过3-氯-4-氟苯胺合成6-氯-5-氟靛红

更多路线和参考文献可参考