基本信息:
中文名称 6-甲氧基色醇
中文别名 3-羟基乙基-6-甲氧基吲哚;6-甲氧基-1H-吲哚-3-乙醇;
英文名称 6-Methoxytryptophol
英文别名 2-(6-methoxy-indol-3-yl)-ethanol;3-Hydroxyethyl-6-Methoxyindole;2-(6-Methoxy-indol-3-yl)-aethanol;6-Methoxy-1H-indole-3-ethanol;6-Methoxytrytophol;6-methoxy-3-(2-hydroxyethyl)indole;6-Methoxy-tryptophol;2-(6-methoxy-1H-indol-3-yl)ethanol;3-(2-Hydroxyethyl)-6-methoxy indole;
CAS号 41340-31-2
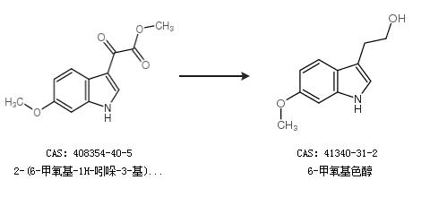
合成路线:
1.通过2-(6-甲氧基-1H-吲哚-3-基)-2-氧代乙酸甲酯合成6-甲氧基色醇

更多路线和参考文献可参考