基本信息:
中文名称 6-氟靛红
中文别名 6-氟-1H-吲哚-2,3-二酮;6-氟吲哚啉-2,3-二酮;6-氟吲哚满-2,3-二酮;6-氟吲满二酮;
英文名称 6-fluoro-1H-indole-2,3-dione
英文别名 6-fluoroisatine;6-Fluoroisatin;6-fluoroindoline-2,3-dione;6-fluoro-indole-2,3-dione;6-fluoroindol-2,3-dione;
CAS号 324-03-8
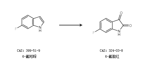
合成路线:
1.通过6-氟吲哚合成6-氟靛红

2.通过3-氟苯胺合成6-氟靛红

更多路线和参考文献可参考