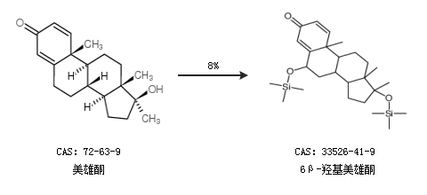
基本信息:
中文名称 6β-羟基美雄酮
中文别名 6Beta-羟基美雄酮;
英文名称 17-Methyl-6,17-bis[(trimethylsilyl)oxy]androsta-1,4-dien-3-one
英文别名 3-Methylbenzeneboronic Acid;meta-methylphenylboronic acid;(3-Methylphenyl)Boranediol;m-Tolylboronic acid;3-MePhB(OH)2;m-methylphenylboronic acid;3-Methyl phenyl boronic acid;3-tolyboronic acid;3-Tolylboronic acid;
CAS号 33526-41-9
合成路线:
1.通过美雄酮合成6β-羟基美雄酮,收率约8%;

更多路线和参考文献可参考