基本信息:
中文名称 5-溴尿苷
中文别名 5-溴尿嘧啶-1-β-D-呋喃核糖苷;5-溴尿嘧啶核苷;
英文名称 5-bromouridine
英文别名 bromouridine;5-bromo-uridin;5-BrU;5-BROMO-URIDINE(5-BRU);5''-BROMOURIDINE;5-Br-rU;5-Bromouridine;5-Bromo-D-uridine;5-bromo-UMP;
CAS号 957-75-5
合成路线:
1.通过尿嘧啶核苷合成5-溴尿苷,收率约97%;

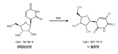
2.通过尿嘧啶核苷合成5-溴尿苷,收率约58%;

更多路线和参考文献可参考