基本信息:
中文名称 5-溴-3-羟基-2-吲哚酮
英文名称 5-bromo-3-hydroxy-1,3-dihydroindol-2-one
英文别名 5-Brom-3-hydroxy-indolin-2-on;5-Bromo-3-hydroxy-2-indolinone;5-bromo-3-hydroxyindolin-2-one;5-Bromodioxindole;
CAS号 99304-37-7
合成路线:
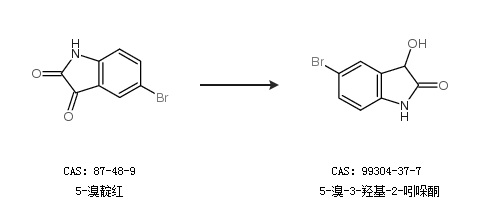
1.通过5-溴靛红合成5-溴-3-羟基-2-吲哚酮

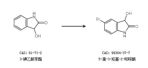
2.通过3-碘乙酸苯酯合成5-溴-3-羟基-2-吲哚酮

更多路线和参考文献可参考