基本信息:
中文名称 5-溴-2-氯烟酸
中文别名 5-溴-2-氯-3-吡啶羧酸;2-氯-5-溴烟酸;5-溴-2-氯吡啶酸;2-氯-5-溴烟酸;
英文名称 5-bromo-2-chloropyridine-3-carboxylic acid
英文别名 2-chloro-5-bromopyridine-3-carboxylic acid;5-bromo-2-chloronicotinicacid;5-Bromo-3-carboxy-2-chloropyridine;5-Bromo-2-chloro-3-pyridinecarboxylic Acid;5-Bromo-2-chloronicotinic Acid;5-BroMo-2-chloronicotinic Acid;
CAS号 29241-65-4
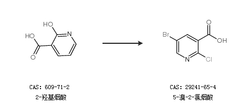
合成路线:
1.通过2-羟基-5-溴烟酸合成5-溴-2-氯烟酸,收率约99%;

2.通过2-羟基烟酸合成5-溴-2-氯烟酸

更多路线和参考文献可参考