基本信息:
中文名称 5-羟基尿苷
英文名称 5-HYDROXYURIDINE
英文别名 1-[(2R,3R,4S,5R)-3,4-dihydroxy-5-(hydroxymethyl)oxolan-2-yl]-5-hydroxy-pyrimidine-2,4-dione;Uridine,5-hydroxy;5-Hydroxy-uridin;5-Hydroxy-uracil-ribotid;5-hydroxy-uridine;1-[(2R,3R,4S,5R)-3,4-dihydroxy-5-methylol-tetrahydrofuran-2-yl]-5-hydroxy-pyrimidine-2,4-quinone;
CAS号 957-77-7
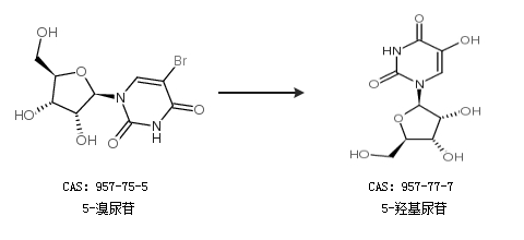
合成路线:
1.通过5-溴尿苷合成5-羟基尿苷

更多路线和参考文献可参考