你好,欢迎来到中华试剂网 购试剂 买耗材! [请登录][注册有惊喜]

货号快速下单 | 签到送积分   | 会员中心 | 客服热线:400-021-2765

5-甲基水杨酰胺的合成路线有哪些?

提问时间:2021/4/20 8:14:03
5-甲基水杨酰胺有什么方法可以合成?

1条回复:

匿名
2021/4/20 8:14:03
基本信息:
中文名称 5-甲基水杨酰胺
中文别名 染发剂蓝二号;
英文名称 5-Methylsalicylamide
英文别名 2-Hydroxy-5-methylbenzamide;2-hydroxy-5-methylbenzamide;
CAS号 39506-61-1

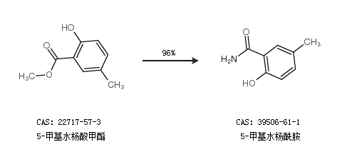
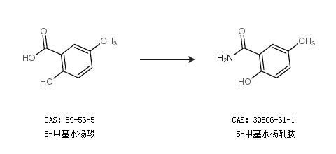
合成路线:
1.通过5-甲基水杨酸甲酯合成5-甲基水杨酰胺,收率约96%;


2.通过5-甲基水杨酸合成5-甲基水杨酰胺


更多路线和参考文献可参考
回复