基本信息:
中文名称 5-甲基-3-己醇
中文别名 2-甲基-4-己醇;乙基异丁基甲醇;
英文名称 5-METHYL-3-HEXANOL
英文别名 Aethyl-isobutyl-carbinol;racemic ethylisobutylcarbinol;2-METHYL-4-HEXANOL;ETHYLISOBUTYLCARBINOL;5-methyl-hexan-3-ol;racemisches Aethylisobutylcarbinol;
CAS号 623-55-2
合成路线:
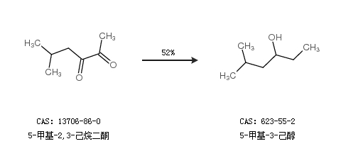
1.通过5-甲基-2,3-己烷二酮合成5-甲基-3-己醇,收率约52%;

2.通过丙酸甲酯和异丁基溴化镁合成5-甲基-3-己醇

更多路线和参考文献可参考