基本信息:
中文名称 5-甲基-2-吲哚酮
英文名称 5-methyl-1,3-dihydroindol-2-one
英文别名 5-Methyl-2-oxyindole;2H-Indol-2-one,1,3-dihydro-5-methyl;5-methyloxindole;5-methyl-indolin-2-one;5-methyl-1,3-dihydro-2H-indol-2-one;5-methyl-1,3-dihydro-indol-2-one;5-methyl-2-oxindole;5-methyl-2-indolinone;
CAS号 3484-35-3
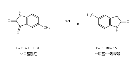
合成路线:
1.通过5-甲基靛红合成5-甲基-2-吲哚酮,收率约84%;

2.通过对甲苯胺和一氯代乙酰氯合成5-甲基-2-吲哚酮,收率约85%;

更多路线和参考文献可参考