你好,欢迎来到中华试剂网 购试剂 买耗材! [请登录][注册有惊喜]

货号快速下单 | 签到送积分   | 会员中心 | 客服热线:400-021-2765

5-甲基-1-己炔-3-醇的合成路线有哪些?

提问时间:2021/4/20 8:14:03
5-甲基-1-己炔-3-醇有什么方法可以合成?

1条回复:

匿名
2021/4/20 8:14:03
基本信息:
中文名称 5-甲基-1-己炔-3-醇
英文名称 5-Methyl-1-hexyn-3-ol
英文别名 5-methylhex-1-yn-3-ol;
CAS号 61996-79-0

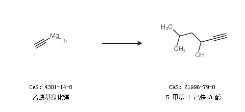
合成路线:
1.通过乙炔基溴化镁合成5-甲基-1-己炔-3-醇


2.通过乙炔合成5-甲基-1-己炔-3-醇


更多路线和参考文献可参考
回复