基本信息:
中文名称 5-氟烟酸
中文别名 5-氟-3-吡啶羧酸;
英文名称 5-Fluoronicotinic acid
英文别名 5-Fluoronicotinic Acid;5-Fluoropyridine-3-carboxylic acid;5-fluoropyridine-3-carboxylic acid;5-Fluoro-3-pyridinecarboxylic Acid;
CAS号 402-66-4
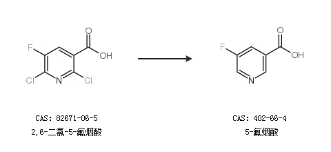
合成路线:
1.通过2,6-二氯-5-氟烟酸合成5-氟烟酸

2.通过二氧化碳和异丙基氯化镁合成5-氟烟酸,收率约82%;

更多路线和参考文献可参考