基本信息:
中文名称 5-碘吲哚-2-酮
中文别名 1,3-二氢-5-碘-2H-吲哚-2-酮;
英文名称 5-iodo-1,3-dihydroindol-2-one
英文别名 2H-Indol-2-one,1,3-dihydro-5-iodo;5-iodo-2-oxindole;5-iodoindoline-2-one;5-iodo-1,3-dihydro-indol-2-one;5-IODOINDOLIN-2-ONE;5-iodo-1,3-dihydro-2H-indol-2-one;5-iodo-2-indolinone;
CAS号 193354-13-1
合成路线:
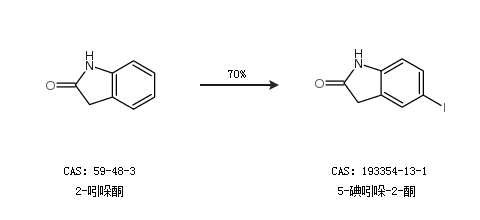
1.通过2-吲哚酮合成5-碘吲哚-2-酮,收率约70%;

2.通过5-碘吲哚合成5-碘吲哚-2-酮,收率约65%;

更多路线和参考文献可参考