基本信息:
中文名称 5-碘-1H-吲哚唑-3-甲酸
英文名称 5-Iodo-1H-indazole-3-carboxylic acid
英文别名 5-Iodo-1H-indazole-3-carboxylicacid;3-carboxy-5-iodo-1H-indazole;5-Iod-3-carboxy-indazol;5-Iodo-3-(1H)indazole carboxylic acid;5-iodo indazole-3-carboxylic acid;5-iodo-1(2)H-indazole-3-carboxylic acid;
CAS号 1077-97-0
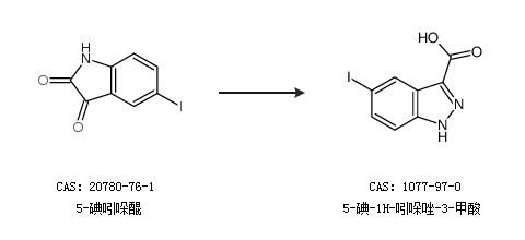
合成路线:
1.通过5-碘-1H-吲唑-3-羧酸甲酯合成5-碘-1H-吲哚唑-3-甲酸,收率约61%;

2.通过5-碘吲哚醌合成5-碘-1H-吲哚唑-3-甲酸

更多路线和参考文献可参考