你好,欢迎来到中华试剂网 购试剂 买耗材! [请登录][注册有惊喜]

货号快速下单 | 签到送积分   | 会员中心 | 客服热线:400-021-2765

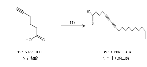
5,7-十八烷二酸的合成路线有哪些?

提问时间:2021/4/20 8:14:02
5,7-十八烷二酸有什么方法可以合成?

1条回复:

匿名
2021/4/20 8:14:02
基本信息:
中文名称 5,7-十八烷二酸
中文别名 5,7-辛基癸二烯酸;
英文名称 octadeca-5,7-diynoic acid
英文别名 5,7-octadecadiynoic acid;5,7-OCTADECADIYNOIC;
CAS号 136667-54-4

合成路线:
1.通过5-己炔酸合成5,7-十八烷二酸,收率约55%;


2.通过1-碘癸烷合成5,7-十八烷二酸


更多路线和参考文献可参考
回复