基本信息:
中文名称 5-(吡咯烷-1-基)戊胺
中文别名 5-吡咯烷戊胺;
英文名称 5-pyrrolidin-1-ylpentan-1-amine
英文别名 1-Pyrrolidinepentanamine 2HCl;5-Pyrrolidinoamylamine;5-pyrrolidino-pentylamine;5-PYRROLIDIN-1-YLAMYLAMINE;1-Pyrrolidinepentanamine;5-Pyrrolidino-pentylamin;
CAS号 71302-71-1
合成路线:
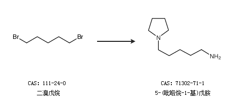
1.通过二溴戊烷合成5-(吡咯烷-1-基)戊胺

2.通过N-(5-溴戊基)邻苯二甲酰亚胺合成5-(吡咯烷-1-基)戊胺

更多路线和参考文献可参考