你好,欢迎来到中华试剂网 购试剂 买耗材! [请登录][注册有惊喜]

货号快速下单 | 签到送积分   | 会员中心 | 客服热线:400-021-2765

4-溴邻苯二甲腈的合成路线有哪些?

提问时间:2021/4/20 8:14:02
4-溴邻苯二甲腈有什么方法可以合成?

1条回复:

匿名
2021/4/20 8:14:02
基本信息:
中文名称 4-溴邻苯二甲腈
中文别名 4-溴邻苯二甲胺;4-溴邻苯二腈;
英文名称 4-Bromophthalonitrile
英文别名 4-bromobenzene-1,2-dicarbonitrile;
CAS号 70484-01-4

合成路线:
1.通过1,2-二氰基苯合成4-溴邻苯二甲腈,收率约44%;


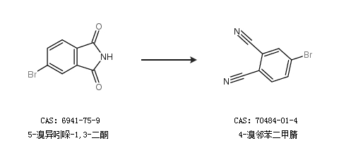
2.通过5-溴异吲哚-1,3-二酮合成4-溴邻苯二甲腈


更多路线和参考文献可参考
回复