基本信息:
中文名称 4-溴-3-甲氧基吡啶盐酸盐
中文别名 4-溴-3-甲氧基吡啶;
英文名称 4-BROMO-3-METHOXYPYRIDINE
英文别名 4-bromo-3-methoxy-pyridine;3-methoxy-4-bromopyridine;Pyridine,4-bromo-3-methoxy;
CAS号 109911-38-8
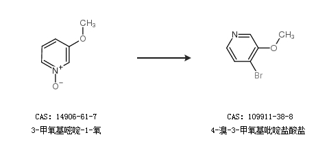
合成路线:
1.通过3-羟基吡啶-N-氧化物合成4-溴-3-甲氧基吡啶盐酸盐

2.通过3-甲氧基嘧啶-1-氧合成4-溴-3-甲氧基吡啶盐酸盐

更多路线和参考文献可参考