基本信息:
中文名称 4-硝基苯磺酸甲酯
中文别名 对硝基苯磺酸甲酯;
英文名称 METHYL 4-NITROBENZENESULFONATE
英文别名 methyl p-nitrobenzensulfonate;p-nitrobenzenesulfonic acid methyl ester;Benzenesulfonic acid,4-nitro-,methyl ester;methyl nitrobenzene-p-sulphonate;Methyl-4-nitrobenzenesulfonate;methyl p-nosylate;Methyl 4-nitrobenzenesulphonate;methyl p-nitrobenzenesulphonate;methyl p-nitrobenzenesulfonate;
CAS号 6214-20-6
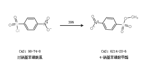
合成路线:
1.通过对硝基苯磺酰氯合成4-硝基苯磺酸甲酯,收率约39%;

2.通过甲醇和对硝基苯磺酰氯合成4-硝基苯磺酸甲酯

更多路线和参考文献可参考