基本信息:
中文名称 4-戊酰氯苯甲腈
英文名称 4-Pentanoylbenzonitrile
英文别名 4-PENTANOYL-BENZONITRILE;4-Cyanovalerophenon;4-cyanovalerophenone;1-(p-Cyanophenyl)-1-pentanone;p-Cyanovalerophenon;1-(4-cyanophenyl)-1-pentanone;p-cyanovalerophenone;Benzonitrile,4-(1-oxopentyl);
CAS号 30611-20-2
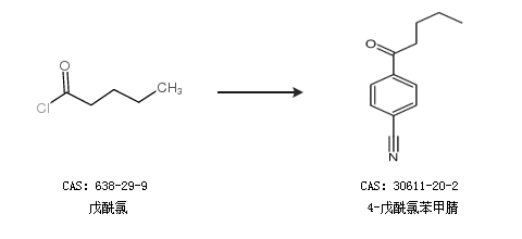
合成路线:
1.通过1-(4-氟-苯基)-1-戊酮和氰化钠合成4-戊酰氯苯甲腈

2.通过戊酰氯合成4-戊酰氯苯甲腈

更多路线和参考文献可参考