基本信息:
中文名称 4-氰基-2-氟苄醇
中文别名 3-氟-4-(羟甲基)苯腈;4-氰基-2-氟苯甲醇;
英文名称 3-fluoro-4-(hydroxymethyl)benzonitrile
英文别名 4-cyano-2-fluorobenzyl alcohol;4-Cyano-2-fluorobenzyl alcohol;3-fluoro-4-hydroxymethylbenzonitrile;
CAS号 219873-06-0
合成路线:
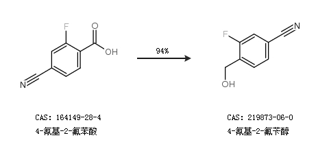
1.通过4-氰基-2-氟苯酸合成4-氰基-2-氟苄醇,收率约94%;

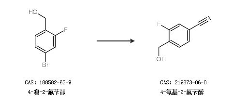
2.通过4-溴-2-氟苄醇合成4-氰基-2-氟苄醇

更多路线和参考文献可参考