你好,欢迎来到中华试剂网 购试剂 买耗材! [请登录][注册有惊喜]

货号快速下单 | 签到送积分   | 会员中心 | 客服热线:400-021-2765

4-氯丁酸的合成路线有哪些?

提问时间:2021/4/20 8:14:02
4-氯丁酸有什么方法可以合成?

1条回复:

匿名
2021/4/20 8:14:02
基本信息:
中文名称 4-氯丁酸
中文别名 4-氟苯胺;对氯丁酸;4-氯丙酸;
英文名称 4-Chlorobutyric Acid
英文别名 4-chlorobutanoic acid;
CAS号 627-00-9

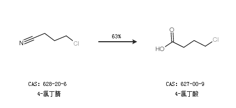
合成路线:
1.通过γ-丁内酯合成4-氯丁酸,收率约81%;


2.通过4-氯丁腈合成4-氯丁酸,收率约63%;


更多路线和参考文献可参考
回复