基本信息:
中文名称 4-甲硫基苯甲酰甲酸乙酯
中文别名 4-硫代甲苯甲酰基甲酸乙酯;
英文名称 Ethyl4-thiomethylbenzoylformate
英文别名 ethyl (4-thiomethoxyphenyl)oxoacetate;Ethyl 4-(methylthio)benzoylformate;ETHYL 4-THIOMETHYLBENZOYLFORMATE;4-Methylmercapto-phenylglyoxylsaeure-aethylester;Ethyl 2-(4-(methylthio)phenyl)-2-oxoacetate;ethyl 4-methanesulfanylbenzoylformate;2-[(4-methylthio)phenyl]oxoacetic acid ethyl ester;(4-Methylsulfanylphenyl)oxoacetic acid ethyl ester;
CAS号 62936-31-6
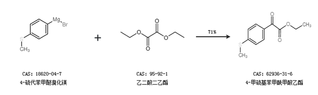
合成路线:
1.通过茴香硫醚和草酰氯单乙酯合成4-甲硫基苯甲酰甲酸乙酯,收率约82%;

2.通过4-硫代苯甲醚溴化镁和乙二酸二乙酯合成4-甲硫基苯甲酰甲酸乙酯,收率约71%;

更多路线和参考文献可参考