基本信息:
中文名称 4-氟苯乙胺
中文别名 4-氟苯乙基胺;1-氨基-2-(4-氟苯基)乙烷;对氟苯乙胺;2-(4-氟苯基)乙胺;(对氟苯基)氨基乙烷;
英文名称 4-Fluorophenethylamine
英文别名 1-Amino-2-(4-fluorophenyl)ethane;2-(4-fluorophenyl)ethanamine;2-(4-Fluorophenyl)ethylaMine;
CAS号 1583-88-6
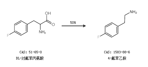
合成路线:
1.通过对氟苯乙腈合成4-氟苯乙胺,收率约92%;

2.通过DL-对氟苯丙氨酸合成4-氟苯乙胺,收率约50%;

更多路线和参考文献可参考