你好,欢迎来到中华试剂网 购试剂 买耗材! [请登录][注册有惊喜]

货号快速下单 | 签到送积分   | 会员中心 | 客服热线:400-021-2765

4-苯基氨基脲的合成路线有哪些?

提问时间:2021/4/20 8:14:02
4-苯基氨基脲有什么方法可以合成?

1条回复:

匿名
2021/4/20 8:14:02
基本信息:
中文名称 4-苯基氨基脲
中文别名 4-苯基代氨脲;4-苯胺脲;苯胺基甲酰肼;4-苯氨脲;
英文名称 4-PHENYLSEMICARBAZIDE
英文别名 4-PhenylseMicarbazide;1-amino-3-phenylurea;
CAS号 537-47-3

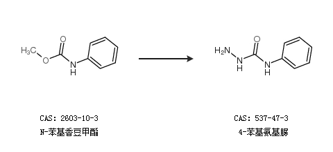
合成路线:
1.通过异氰酸苯酯合成4-苯基氨基脲,收率约82%;


2.通过N-苯基香豆甲酯合成4-苯基氨基脲


更多路线和参考文献可参考
回复