你好,欢迎来到中华试剂网 购试剂 买耗材! [请登录][注册有惊喜]

货号快速下单 | 签到送积分   | 会员中心 | 客服热线:400-021-2765

4,6-十二烷二酸的合成路线有哪些?

提问时间:2021/4/20 8:14:02
4,6-十二烷二酸有什么方法可以合成?

1条回复:

匿名
2021/4/20 8:14:02
基本信息:
中文名称 4,6-十二烷二酸
英文名称 dodeca-4,6-diynoic acid
英文别名 Dodeca-4,6-diin-1-saeure;4,6-dodecanediynoic acid;4,6-DODECADIYNOIC ACID;
CAS号 100256-61-9

合成路线:
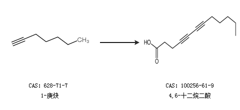
1.通过1-庚炔合成4,6-十二烷二酸


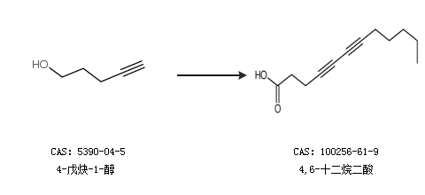
2.通过4-戊炔-1-醇合成4,6-十二烷二酸


更多路线和参考文献可参考
回复