基本信息:
中文名称 4,4''-二羟基二苯醚
中文别名 对羟基联苯醚;4,4’-二羟基二苯醚;
英文名称 4-(4-hydroxyphenoxy)phenol
英文别名 p,p''-Oxybisphenol;4,4''-Oxydiphenol;p,p''-Oxydiphenol;4,4’-Dihydroxydiphenyl Ether;Phenol,4,4''-oxybis;PHENOL,4,4''-OXYDI;4,4`-Dihydroxydiphenyl Ether;Bis(4-hydroxyphenyl) Ether;bis-(4-hydroxyphenyl)-ether;EINECS 217-809-1;4,4‘-Oxydiphenol;4,4''-Dihydroxydiphenyl ether;bis-(p-hydroxyphenyl)-ether;
CAS号 1965-09-9
合成路线:
1.通过双(4-甲氧基二苯基)醚合成4,4''-二羟基二苯醚

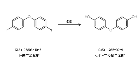
2.通过4-碘二苯基醚合成4,4''-二羟基二苯醚,收率约83%;

更多路线和参考文献可参考