基本信息:
中文名称 4,4-二肼基八氟联苯
中文别名 2,2,3,3,5,5,6,6-八氟-4,4-二肼基-1,1-联苯;4,4''-二肼基八氟联苯;
英文名称 [2,3,5,6-tetrafluoro-4-(2,3,5,6-tetrafluoro-4-hydrazinylphenyl)phenyl]hydrazine
英文别名 Perfluor-(4,4''-biphenyldiyl)-dihydrazin;4,4''-Dihydrazinooctafluorobiphenyl;1,1''-(2,2'',3,3'',5,5'',6,6''-octafluorobiphenyl-4,4''-diyl)dihydrazine;perfluoro-(4,4''-byphenyldiyl)-dihydrazine;4,4''-Dihydrazino-octafluor-biphenyl;2,3,5,6,2'',3'',5'',6''-Octafluor-4,4''-bis-hydrazino-diphenyl;Octafluorodiphenyl-p-dihydrazine;
CAS号 2200-68-2
合成路线:
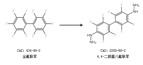
1.通过全氟联苯合成4,4-二肼基八氟联苯

2.通过全氟联苯和高纯氮合成4,4-二肼基八氟联苯

更多路线和参考文献可参考