基本信息:
中文名称 4,4''-苯偶酰氯
中文别名 4,4''-联苯二乙酰氯;4,4‘-联苯基乙酰氯;
英文名称 4-(4-carbonochloridoylphenyl)benzoyl chloride
英文别名 4,4''-biphenyldicarbonyl dichloride;4,4''-Diphenyldicarbonyl Chloride;biphenyl-4,4''-dicarboxylic acid dichloride;4,4''-biphenyldicarboxylic acid dichloride;biphenyl-4,4''-dicarbonyl dichloride;Biphenyldicarbonylchloride;biphenyl 4,4''-dicarboxylic acid chloride;4,4''-Dibenzoyl Chloride;(1,1''-Biphenyl)-4,4''-dicarbonyl dichloride;1,1''-biphenyl-4,4''-dicarbonyl chloride;4,4''-Bibenzoyl Chloride;4,4''-Biphenyldicarbonyl chloride;
CAS号 2351-37-3
合成路线:
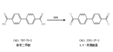
1.通过联苯二甲酸合成4,4''-苯偶酰氯,收率约99%;

2.通过草酰氯和联苯二甲酸合成4,4''-苯偶酰氯,收率约95%;

更多路线和参考文献可参考