你好,欢迎来到中华试剂网 购试剂 买耗材! [请登录][注册有惊喜]

货号快速下单 | 签到送积分   | 会员中心 | 客服热线:400-021-2765

4,4’-二甲基二环己胺的合成路线有哪些?

提问时间:2021/4/20 8:14:02
4,4’-二甲基二环己胺有什么方法可以合成?

1条回复:

匿名
2021/4/20 8:14:02
基本信息:
中文名称 4,4’-二甲基二环己胺
中文别名 4,4''-二甲基二环己胺;
英文名称 4,4''-DIMETHYLDICYCLOHEXYLAMINE
CAS号 109667-09-6

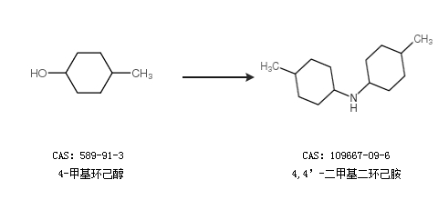
合成路线:
1.通过4-甲基环己醇合成4,4’-二甲基二环己胺


2.通过对甲苯胺和乙酸合成4,4’-二甲基二环己胺


更多路线和参考文献可参考
回复