你好,欢迎来到中华试剂网 购试剂 买耗材! [请登录][注册有惊喜]

货号快速下单 | 签到送积分   | 会员中心 | 客服热线:400-021-2765

4-(N,N-二乙基氨基甲基)苯硼酸的合成路线有哪些?

提问时间:2021/4/20 8:14:02
4-(N,N-二乙基氨基甲基)苯硼酸有什么方法可以合成?

1条回复:

匿名
2021/4/20 8:14:02
基本信息:
中文名称 4-(N,N-二乙基氨基甲基)苯硼酸
中文别名 4-((二乙胺基)甲基)苯基硼酸;4-[(二乙氨基)甲基]苯硼酸;
英文名称 [4-(diethylaminomethyl)phenyl]boronic acid
英文别名 OR7198;
CAS号 220999-48-4

合成路线:
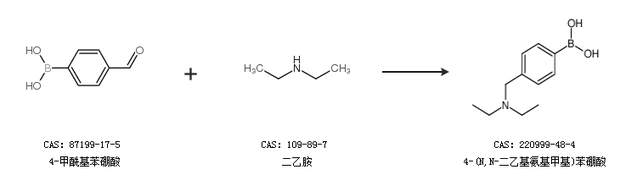
1.通过4-甲酰基苯硼酸和二乙胺合成4-(N,N-二乙基氨基甲基)苯硼酸


2.通过4-甲酰基苯硼酸和二乙胺合成4-(N,N-二乙基氨基甲基)苯硼酸


更多路线和参考文献可参考
回复