基本信息:
中文名称 4-(3-氯-4-氟苯胺)-7-甲氧基-喹唑啉-6-醇
中文别名 (2)6-(甲氧基)-7-苄氧基喹唑啉-4-酮;4-(3-氯-4-氟苯氨基)-7-甲氧基喹唑啉-6-醇;4-(3-氯-4-氟苯胺)-6-羟基-7-甲氧基喹唑啉;4-(3-氯-4-氟苯胺基)-7-甲氧基-6-羟基喹唑啉;吉非替尼中间体7;氧位O-去丙基吗啉吉非替尼;
英文名称 O-Desmorpholinopropyl Gefitinib
英文别名 4-(3-chloro-4-fluoroanilino)-7-methoxyquinazolin-6-ol;
CAS号 184475-71-6
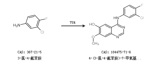
合成路线:
1.通过4-(3-氯-4-氟苯氨基)-7-甲氧基喹唑啉-6-醇乙酸酯合成4-(3-氯-4-氟苯胺)-7-甲氧基-喹唑啉-6-醇,收率约97%;

2.通过3-氯-4-氟苯胺合成4-(3-氯-4-氟苯胺)-7-甲氧基-喹唑啉-6-醇,收率约75%;

更多路线和参考文献可参考