基本信息:
中文名称 3-氧代癸酸甲酯
英文名称 methyl 3-oxodecanoate
英文别名 3-Oxo-decanoic Acid Methyl Ester;EINECS 244-928-6;Decanoic acid,3-oxo-,methyl ester;Methyl3-oxodecanoate;3-Oxo-decansaeure-methylester;
CAS号 22348-96-5
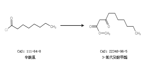
合成路线:
1.通过乙酰乙酸甲酯和辛酰氯合成3-氧代癸酸甲酯,收率约76%;

2.通过辛酰氯合成3-氧代癸酸甲酯

更多路线和参考文献可参考