基本信息:
中文名称 3-溴苯并蒽酮
中文别名 3-溴代苯绕蒽酮;
英文名称 3-bromobenzo[b]phenalen-7-one
英文别名 3-Bromo-7H-benzo[de]anthracen-7-one;3-Bromobenzanthrone;Bz 1-Brom-benzanthron;3-Brombenzanthrone;3-Brom-benz[de]anthracen-7-on;7-Bromomesobenzanthrone;Benzanthrone,3-bromo;3-Bromobenz(de)anthracen-7-one;EINECS 201-390-7;7H-Benz[de]anthracen-7-one,3-bromo;3-Brom-benzanthron;3-Bromobenz(d,e)anthrone;
CAS号 81-96-9
合成路线:
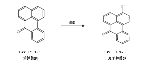
1.通过苯并蒽酮合成3-溴苯并蒽酮,收率约88%;

2.通过苯并蒽酮、溴素、碘和乙酸合成3-溴苯并蒽酮

更多路线和参考文献可参考