基本信息:
中文名称 3-硝基苯甲醚
中文别名 间硝基苯甲醚;间甲氧基硝基苯;硝基苯甲醚;1-甲氧基-3-硝基苯;间硝基茴香醚;
英文名称 3-nitroanisole
英文别名 3-Nitroanisole;3-nitromethoxybenzene;1-methoxy-3-nitrobenzene;Anisole,m-nitro;M-NITROANISOLE;3-Nitrophenylmethylether;1-methoxy-3-nitro-benzen;m-MeOC6H4NO2;m-methoxynitrobenzene;3-Methoxynitrobenzene;META-NITROANISOLE;
CAS号 555-03-3
合成路线:
1.通过间硝基苯酚和硫酸二甲酯合成3-硝基苯甲醚,收率约97%;

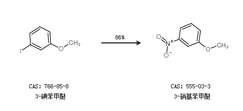
2.通过3-碘苯甲醚合成3-硝基苯甲醚,收率约86%;

更多路线和参考文献可参考