基本信息:
中文名称 3-缩酮
中文别名 环-3-(1,2-亚乙基缩醛)-雌甾-5(10),9(11)-二烯-3,17-二酮;缩酮物;丹缩酮;雌甾-5(10),9(11)-二烯-3,17-二酮-3-乙烯缩酮;
英文名称 Estra-5(10),9(11)-diene-3,17-dione 3-Ethylene Ketal
英文别名 Estradiene dione-3-keta;
CAS号 5571-36-8
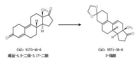
合成路线:
1.通过17β-羟基雌甾-4,9-二烯-3-酮合成3-缩酮

2.通过雌甾-4,9-二烯-3,17-二酮合成3-缩酮

更多路线和参考文献可参考