基本信息:
中文名称 3-氯-4-氟苯胺
中文别名 4-氟-3-氯苯胺;3-氨基-6-氟氯苯;氟氯苯胺;吉非替尼杂质V;
英文名称 3-Chloro-4-fluoroaniline
英文别名 4-fluoro-3-chloro-aniline;Aniline,3-chloro-4-fluoro;3-chlor-4-fluoranilin;3-Cl-4-F-aniline;para-fluoro-meta-chloroaniline;Benzenamine,3-chloro-4-fluoro;3-chloro-4-fluoroanilline;3-chloro-4-fluoro aniline;CHLOROFLUOROANILINE;3-Chloro-4-fluorobenzenamine;3-Chloro-4-fluorophenylamine;
CAS号 367-21-5
合成路线:
1.通过3-氯-4-氟硝基苯合成3-氯-4-氟苯胺,收率约99%;

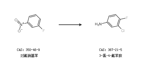
2.通过对氟硝基苯合成3-氯-4-氟苯胺

更多路线和参考文献可参考